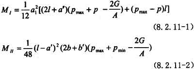
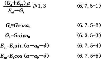
3.3 地基与基础 序号 审查项目 审查内容 3.3 地基与基础 地基基础应按地方标准进行审查,各省级建设主管部门可根据需要确定审查内容,无地方标准的地区应按本要点进行审查。本要点未包括各类特殊地基基础,特殊地基基础应依据相关标准进行审查,各省级建设主管部门可结合当地特点对审查内容作出规定。 3.3.1 基本规定 《建筑地基基础设计规范》GB 50007-2011 3.0.1 地基基础设计应根据地基复杂程度、建筑物规模和功能特征以及由于地基问题可能造成建筑物破坏或影响正常使用的程度分为三个设计等级,设计时应根据具体情况,按表3.0.1选用。 表3.0.1 地基基础设计等级 3.3.2 基础的埋置深度 《建筑地基基础设计规范》GB 50007-2011 5.1.4 在抗震设防区,除岩石地基外,天然地基上的箱形和筏形基础其埋置深度不宜小于建筑物高度的1/15;桩箱或桩筏基础的埋置深度(不计桩长)不宜小于建筑物高度的1/18。 3.3.3 地基承载力计算 《建筑地基基础设计规范》GB 50007-2011 5.2.1 基础底面的压力,应符合下列规定: 1 当轴心荷载作用时 式中:pk——相应于作用的标准组合时,基础底面处的平均压力值(kPa); fa——修正后的地基承载力特征值(kPa)。 2 当偏心荷载作用时,除符合式(5.2.1-1)要求外,尚应符合下式规定: 式中:pkmax——相应于作用的标准组合时,基础底面边缘的最大压力值(kPa)。 5.2.4 当基础宽度大于3m或埋置深度大于0.5m时,从载荷试验或其他原位测试、经验值等方法确定的地基承载力特征值,尚应按下式修正: 式中:fa——修正后的地基承载力特征值(kPa); fak——地基承载力特征值(kPa),按本规范第5.2.3条的原则确定; ηb、ηd——基础宽度和埋置深度的地基承载力修正系数,按基底下土的类别查表5.2.4取值; γ——基础底面以下土的重度(kN/m3),地下水位以下取浮重度; b——基础底面宽度(m),当基础底面宽度小于3m时按3m取值,大于6m时按6m取值; γm——基础底面以上土的加权平均重度(kN/m3),位于地下水位以下的土层取有效重度; d——础埋置深度(m),宜自室外地面标高算起。在填方整平地区,可自填土地面标高算起,但填土在上部结构施工后完成时,应从天然地面标高算起。对于地下室,当采用箱形基础或筏基时,基础埋置深度自室外地面标高算起;当采用独立基础或条形基础时,应从室内地面标高算起。 表5.2.4承载力修正系数 注:1 强风化和全风化的岩石,可参照所风化成的相应土类取值,其他状态下的岩石不修正; 2 地基承载力特征值按本规范附录D深层平板载荷试验确定时ηd取0; 3 含水比是指土的天然含水量与液限的比值; 4 大面积压实填土是指填土范围大于两倍基础宽度的填土。 5.2.7 当地基受力层范围内有软弱下卧层时,应符合下列规定: 1 应按下式验算软弱下卧层的地基承载力: 式中:Pz——相应于作用的标准组合时,软弱下卧层顶面处的附加压力值(kPa); Pcz——软弱下卧层顶面处土的自重压力值(kPa); faz——软弱下卧层顶面处经深度修正后的地基承载力特征值(kPa)。 3.3.4 地基稳性验算 《建筑地基基础设计规范》GB 50007-2011 5.4.2 位于稳定土坡坡顶上的建筑,应符合下列规定: 1 对于条形基础或矩形基础,当垂直于坡顶边缘线的基础底面边长小于或等于3m时,其基础底面外边缘线至坡顶的水平距离(图5.4.2)应符合下式要求,且不得小于2.5m: 条形基础 矩形基础 式中:a——基础底面外边缘线至坡顶的水平距离(m); b——垂直于坡顶边缘线的基础底面边长(m); d——基础埋置深度(m); β——边坡坡角(°)。 2 当基础底面外边缘线至坡顶的水平距离不满足式(5.4.2-1)、式(5.4.2-2)的要求时,可根据基底平均压力按式(5.4.1)确定基础距坡顶边缘的距离和基础埋深。 3 当边坡坡角大于45°、坡高大于8m时,尚应按式(5.4.1)验算坡体稳定性。 图5.4.2 基础底面外边缘线至坡顶的水平距离示意 5.4.3 建筑物基础存在浮力作用时应进行抗浮稳定性验算,并应符合下列规定: 1 对于简单的浮力作用情况,基础抗浮稳定性应符合下式要求: 式中:Gk——建筑物自重及压重之和(kN); Nw,k——浮力作用值(kN); kw——抗浮稳定安全系数。一般情况下可取1.05。 6.7.5 挡土墙的稳定性验算应符合下列规定: 1 抗滑移稳定性应按下列公式进行验算(图6.7.5-1): 式中:G——挡土墙每延米自重(kN); a0——挡土墙基底的倾角(°); a——挡土墙墙背的倾角(°); δ——土对挡土墙墙背的摩擦角(°),可按表6.7.5-1选用; μ——土对挡土墙基底的摩擦系数,由试验确定,也可按表6.7.5-2选用。 图6.7.5-1 挡土墙抗滑稳定验算示意 表6.7.5-1 土对挡土墙墙背的摩擦角δ 表6.7.5.2 土对挡土墙基底的摩擦系数μ 注:1 对易风化的软质岩和塑性指数Ip大于22的黏性土,基底摩擦系数应通过试验确定。 2 对碎石土,可根据其密实程度、填充物状况、风化程度等确定。 2 抗倾覆稳定性应按下列公式进行验算(图6.7.5-2): 式中:z——土压力作用点离墙踵的高度(m); x0——挡土墙重心离墙趾的水平距离(m); b——基底的水平投影宽度(m)。 图6.7.5-2 挡土墙抗倾覆稳定验算示意 3.3.5 扩展基础 《建筑地基基础设计规范》GB 50007-2011 8.2.8 柱下独立基础的受冲切承载力应按下列公式验算: 式中:βhp——受冲切承载力截面高度影响系数,当h不大于800mm时,βhp取1.0;当h大于或等于2000mm时,βhp取0.9,其间按线性内插法取用; ft——混凝土轴心抗拉强度设计值(kPa); h0——基础冲切破坏锥体的有效高度(m); am——冲切破坏锥体最不利一侧计算长度(m); at——冲切破坏锥体最不利一侧斜截面的上边长(m),当计算柱与基础交接处的受冲切承载力时,取柱宽;当计算基础变阶处的受冲切承载力时,取上阶宽; ab——冲切破坏锥体最不利一侧斜截面在基础底面积范围内的下边长(m),当冲切破坏锥体的底面落在基础底面以内(图8.2.8),计算柱与基础交接处的受冲切承载力时,取柱宽加两倍基础有效高度;当计算基础变阶处的受冲切承载力时,取上阶宽加两倍该处的基础有效高度; pj——扣除基础自重及其上土重后相应于作用的基本组合时的地基土单位面积净反力(kPa),对偏心受压基础可取基础边缘处最大地基土单位面积净反力; A1——冲切验算时取用的部分基底面积(m2)(图8.2.8中的阴影面积ABCDEF); F1——相应于作用的基本组合时作用在il上的地 基土净反力设计值(kPa)。 图8.2.8 计算阶形基础的受冲切承载力截面位置 1-冲切破坏锥体最不利一侧的斜截面;2-冲切破坏锥体的底面线 8.2.9 当基础底面短边尺寸小于或等于柱宽加两倍基础有效高度时,应按下列公式验算柱与基础交接处截面受剪承载力: 式中:Vs——相应于作用的基本组合时,柱与基础交接处的剪力设计值(kN),图8.2.9中的阴影面积乘以基底平均净反力; βhs——受剪切承载力截面高度影响系数:当h0<800mm时,取h0=800mm;当h0>2000mm时,取h0=2000mm; A0——验算截面处基础的有效截面面积(m2)。当验算截面为阶形或锥形时,可将其截面折算成矩形截面,截面的折算宽度和截面的有效高度按本规范附录U计算。 图8.2.9 验算阶形基础受剪切承载力示意 8.2.11 在轴心荷载或单向偏心荷载作用下,当台阶的宽高比小于或等于2.5且偏心距小于或等于1/6基础宽度时,柱下矩形独立基础任意截面的底板弯矩可按下列简化方法进行计算(图8.2.11): 式中:MⅠ、MⅡ——相应于作用的基本组合时,任意截面Ⅰ-Ⅰ、Ⅱ-Ⅱ处的弯矩设计值(kN·m); a1——任意截面Ⅰ-Ⅰ至基底边缘最大反力处的距离(m); l、b——基础底面的边长(m); pmax、pmin——相应于作用的基本组合时的基础底面边缘最大和最小地基反力设计值(kPa); p——相应于作用的基本组合时在任意截面Ⅰ-Ⅰ处基础底面地基反力设计值(kPa); G——考虑作用分项系数的基础自重及其上的土自重(kN);当组合值由永久作用控制时,作用分项系数可取1.35。 图8.2.11 矩形基础底板的计算示意 3.3.6 柱下条形基础 《建筑地基基础设计规范》GB 50007-2011 8.3.1 柱下条形基础的构造,除应符合本规范第8.2.1条的要求外,尚应符合下列规定: 4 条形基础梁顶部和底部的纵向受力钢筋除应满足计算要求外,顶部钢筋应按计算配筋全部贯通,底部通长钢筋不应少于底部受力钢筋截面总面积的1/3。 3.3.7 高层建筑筏形基础 《建筑地基基础设计规范》GB 50007-2011 8.4.4 筏形基础的混凝土强度等级不应低于C30,当有地下室时应采用防水混凝土。防水混凝土的抗渗等级应按表8.4.4选用。 表8.4.4 防水混凝土抗渗等级 埋置深度d(m) 设计抗渗等级 埋置深度d(m) 设计抗渗等级 d<10 P6 20≤d<30 P10 10≤d<20 P8 30≤d P12 8.4.8 平板式筏基内筒下的板厚应满足受冲切承载力的要求,并应符合下列规定: 1 受冲切承载力应按下式进行计算: 式中:F1——相应于作用的基本组合时,内筒所承受的轴力设计值减去内筒下筏板冲切破坏锥体内的基底净反力设计值(kN)。 um——距内筒外表面h0/2处冲切临界截面的周长(m)(图8.4.8); h0——距内筒外表面h0/2处筏板的截面有效高度(m); η——内筒冲切临界截面周长影响系数,取1.25。 图8.4.8 筏板受内筒冲切的临界截面位置 2 当需要考虑内筒根部弯矩的影响时,距内筒外表面h0/2处冲切临界截面的最大剪应力可按公式(8.4.7-1)计算,此时τmax≤0.7βhpft/η。 8.4.15 按基底反力直线分布计算的梁板式筏基,其基础梁的内力可按连续梁分析,边跨跨中弯矩以及第一内支座的弯矩值宜乘以1.2的系数。梁板式筏基的底板和基础梁的配筋除满足计算要求外,纵横方向的底部钢筋尚应有不少于1/3贯通全跨,顶部钢筋按计算配筋全部连通,底板上下贯通钢筋的配筋率不应小于0.15%。 8.4.16 平板式筏基柱下板带和跨中板带的底部支座钢筋应有不少于1/3贯通全跨,顶部钢筋应按计算配筋全部连通,上下贯通钢筋的配筋率不应小于0.15%。 3.3.8 桩基础 《建筑地基基础设计规范》GB 50007-2011 8.5.3 桩和桩基的构造,应符合下列规定: 1 摩擦型桩的中心距不宜小于桩身直径的3倍;扩底灌注桩的中心距不宜小于扩底直径的1.5倍,当扩底直径大于2m时,桩端净距不宜小于1m。在确定桩距时尚应考虑施工工艺中挤土等效应对邻近桩的影响。 2 扩底灌注桩的扩底直径,不应大于桩身直径的3倍。 3 桩底进入持力层的深度,宜为桩身直径的1~3倍。在确定桩底进入持力层深度时,尚应考虑特殊土、岩溶以及震陷液化等影响。嵌岩灌注桩周边嵌入完整和较完整的未风化、微风化、中风化硬质岩体的最小深度,不宜小于0.5m。 5 设计使用年限不少于50年时,非腐蚀环境中预制桩的混凝土强度等级不应低于C30,预应力桩不应低于C40,灌注桩的混凝土强度等级不应低于C25;二b类环境及三类及四类、五类微腐蚀环境中不应低于C30;在腐蚀环境中的桩,桩身混凝土的强度等级应符合现行国家标准《混凝土结构设计规范》GB 50010的有关规定。设计使用年限不少于100年的桩,桩身混凝土的强度等级宜适当提高。水下灌注混凝土的桩身混凝土强度等级不宜高于C40。 6 桩身混凝土的材料、最小水泥用量、水灰比、抗渗等级等应符合现行国家标准《混凝土结构设计规范》GB 50010、《工业建筑防腐蚀设计规范》GB 50046及《混凝土结构耐久性设计规范》GB/T 50476的有关规定。 7 桩的主筋配置应经计算确定。预制桩的最小配筋率不宜小于0.8%(锤击沉桩)、0.6%(静压沉桩),预应力桩不宜小于0.5%;灌注桩最小配筋率不宜小于0.2%~0.65%(小直径桩取大值)。桩顶以下3倍~5倍桩身直径范围内,箍筋宜适当加强加密。 8 桩身纵向钢筋配筋长度应符合下列规定: 1)受水平荷载和弯矩较大的桩,配筋长度应通过计算确定; 2)桩基承台下存在淤泥、淤泥质土或液化土层时,配筋长度应穿过淤泥、淤泥质土层或液化土层; 3)坡地岸边的桩、8度及8度以上地震区的桩、抗拔桩、嵌岩端承桩应通长配筋; 4)钻孔灌注桩构造钢筋的长度不宜小于桩长的2/3;桩施工在基坑开挖前完成时,其钢筋长度不宜小于基坑深度的1.5倍。 9 桩身配筋可根据计算结果及施工工艺要求,可沿桩身纵向不均匀配筋。腐蚀环境中的灌注桩主筋直径不宜小于16mm,非腐蚀性环境中灌注桩主筋直径不应小于12mm。 10 桩顶嵌入承台内的长度不应小于50mm。主筋伸入承台内的锚固长度不应小于钢筋直径(HPB235)的30倍和钢筋直径(HRB335和HRB400)的35倍。对于大直径灌注桩,当采用一柱一桩时,可设置承台或将桩和柱直接连接。桩和柱的连接可按本规范第8.2.5条高杯口基础的要求选择截面尺寸和配筋,柱纵筋插入桩身的长度应满足锚固长度的要求。 11 灌注桩主筋混凝土保护层厚度不应小于50mm;预制桩不应小于45mm,预应力管桩不应小于35mm;腐蚀环境中的灌注桩不应小于55mm。 8.5.5 单桩承载力计算应符合下列规定: 1 轴心竖向力作用下 式中:Ra——单桩竖向承载力特征值(kN)。 2 偏心竖向力作用下,除满足公式(8.5.5-1)外,尚应满足下列要求: 3 水平荷载作用下 式中:RHa——单桩水平承载力特征值(kN)。 8.5.7 当作用于桩基上的外力主要为水平力或高层建筑承台下为软弱土层、液化土层时,应根据使用要求对桩顶变位的限制,对桩基的水平承载力进行验算。 8.5.9 当桩基承受拔力时,应对桩基进行抗拔验算。单桩抗拔承载力特征值应通过单桩竖向抗拔载荷试验确定,并应加载至破坏。单桩竖向抗拔载荷试验,应按本规范附录T进行。 8.5.17 桩基承台的构造,除满足受冲切、受剪切、受弯承载力和上部结构的要求外,尚应符合下列要求: 1 承台的宽度不应小于500mm。边桩中心至承台边缘的距离不宜小于桩的直径或边长,且桩的外边缘至承台边缘的距离不小于150mm。对于条形承台梁,桩的外边缘至承台梁边缘的距离不小于75mm; 2 承台的最小厚度不应小于300mm; 4 承台混凝土强度等级不应低于C20,纵向钢筋的混凝土保护层厚度不应小于70mm,当有混凝土垫层时,不应小于50mm。 3.3.9 地基基础抗震设计 《建筑抗震设计规范》GB 50011-2010 3.3.5 山区建筑的场地和地基基础应符合下列要求: 2 边坡设计应符合现行国家标准《建筑边坡工程技术规范》GB 50330的要求;其稳定性验算时,有关的摩擦角应按设防烈度的高低相应修正。 3 边坡附近的建筑基础应进行抗震稳定性设计。建筑基础与土质、强风化岩质边坡的边缘应留有足够的距离,其值应根据设防烈度的高低确定,并采取措施避免地震时地基基础破坏。 4.3.6 当液化砂土层、粉土层较平坦且均匀时,宜按表4.3.6选用地基抗液化措施;尚可计入上部结构重力荷载对液化危害的影响,根据液化震陷量的估计适当调整抗液化措施。 不宜将未经处理的液化土层作为天然地基持力层。 表4.3.6抗液化措施 注:甲类建筑的地基抗液化措施应进行专门研究,但不宜低于乙类的相应要求。 4.4.3 存在液化土层的低承台桩基抗震验算,应符合下列规定: 1 承台埋深较浅时,不宜计入承台周围土的抗力或刚性地坪对水平地震作用的分担作用。 2 当桩承台底面上、下分别有厚度不小于1.5m、1.0m的非液化土层或非软弱土层时,可按下列二种情况进行桩的抗震验算,并按不利情况设计: 1)桩承受全部地震作用,桩承载力按本规范第4.4.2条取用,液化土的桩周摩阻力及桩水平抗力均应乘以表4.4.3的折减系数。 表4.4.3 土层液化影响折减系数 2)地震作用按水平地震影响系数最大值的10%采用,桩承载力仍按本规范第4.4.2条1款取用,但应扣除液化土层的全部摩阻力及桩承台下2m深度范围内非液化土的桩周摩阻力。